Наша группа Вконтакте vk.com/4ertimcom

ГОСТ 10001-15000

ГОСТ 13218.10-80

E-mail автора: 

Корпуса типа РУ подшипников качения. Конструкция и размеры

Обозначение: ГОСТ 13218.10-80
Статус: действующий
Название рус.: Корпуса типа РУ подшипников качения. Конструкция и размеры
Название англ.: Pillow blocks of serie РУ for rolling bearings. Construction and dimensions
Дата актуализации текста: 19.06.2012
Дата актуализации описания: 19.06.2012
Дата введения в действие: 01.01.1982
Область и условия применения: Настоящий стандарт распространяется на разъемные узкие корпуса типа РУ со сквозным отверстием
Взамен: ГОСТ 13218.10-67


ГОСТ 13218.10-80
ГОСТ 13218.10-80
ГОСТ 13218.10-80
ГОСТ 13218.10-80
Автор: 
Домашняя страница автора: 

ГОСТ 12840-80

E-mail автора: 

Замки предохранительные для однорогих крюков. Типы и размеры

Обозначение: ГОСТ 12840-80
Статус: действующий
Название рус.: Замки предохранительные для однорогих крюков. Типы и размеры
Название англ.: Safety locks for single hooks. Type and dimensions
Дата актуализации текста: 19.06.2012
Дата актуализации описания: 19.06.2012
Дата введения в действие: 01.01.1981
Область и условия применения: Настоящий стандарт распространяется на предохранительные замки для однорогих кованых и штампованных крюков климатического исполнения У по ГОСТ 15150, применяемых в грузоподъемных машинах общего назначения.
Стандарт не распространяется на предохранительные замки для крюков, предназначенных для работы во взрывоопасной среде, а также для грузоподъемных машин специального назначения
Взамен: ГОСТ 12840-73
Список изменений: №1 от 01.08.1982 (рег. 31.03.1982) «Срок действия продлен»
№2 от 01.02.1991 (рег. 25.07.1990) «Срок действия продлен»


ГОСТ 12840-80
ГОСТ 12840-80
ГОСТ 12840-80
ГОСТ 12840-80
ГОСТ 12840-80
ГОСТ 12840-80
ГОСТ 12840-80
ГОСТ 12840-80
ГОСТ 12840-80
ГОСТ 12840-80
ГОСТ 12840-80
Автор: 
Домашняя страница автора: 

ГОСТ 10494-80

E-mail автора: 

Шпильки для фланцевых соединений с линзовым уплотнением на Ру свыше 10 до 100 МПа (свыше 100 до 1000 кгс/см кв.). Технические условия

Обозначение: ГОСТ 10494-80
Статус: действующий
Название рус.: Шпильки для фланцевых соединений с линзовым уплотнением на Ру свыше 10 до 100 МПа (свыше 100 до 1000 кгс/см кв.). Технические условия
Название англ.: Studs for flanged connections with lens-shaped seals for pn - 10-100 MPa (100-1000 kgf/sq sm). Technical requirements
Дата актуализации текста: 19.06.2012
Дата актуализации описания: 19.06.2012
Дата введения в действие: 01.01.1982
Область и условия применения: Настоящий стандарт распространяется на шпильки для фланцевых соединений с линзовым уплотнением арматуры, соединительных частей и трубопроводов, используемых в химической и нефтехимической промышленности на Ру свыше 10 до 100 МПа (свыше 100 до 1000 кгс/см кв.) с температурой от минус 50 до плюс 510 град. С
Взамен: ГОСТ 10494-74
Список изменений: №1 от 01.01.1987 (рег. 28.07.1986) «Срок действия продлен»
№2 от 01.01.1992 (рег. 25.02.1991) «Срок действия продлен»


ГОСТ 10494-80
ГОСТ 10494-80
ГОСТ 10494-80
ГОСТ 10494-80
ГОСТ 10494-80
ГОСТ 10494-80
ГОСТ 10494-80
ГОСТ 10494-80
ГОСТ 10494-80
ГОСТ 10494-80
ГОСТ 10494-80
Автор: 
Домашняя страница автора: 

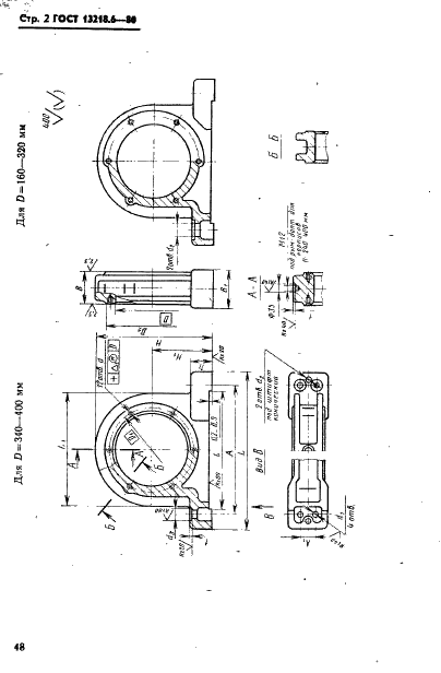
ГОСТ 13218.6-80

E-mail автора: 

Корпуса типа ШБ подшипников качения диаметром от 160 до 400 мм. Конструкция и размеры

Обозначение: ГОСТ 13218.6-80
Статус: действующий
Название рус.: Корпуса типа ШБ подшипников качения диаметром от 160 до 400 мм. Конструкция и размеры
Название англ.: Pillow blocks of serie Шm for rolling bearings of diameters from 160 till 400 mm. Construction and dimensions
Дата актуализации текста: 19.06.2012
Дата актуализации описания: 19.06.2012
Дата введения в действие: 01.01.1982
Область и условия применения: Настоящий стандарт распространяется на неразъемные широкие корпуса типа ШБ со сквозным отверстием
Взамен: ГОСТ 13218.6-67


ГОСТ 13218.6-80
ГОСТ 13218.6-80
ГОСТ 13218.6-80
ГОСТ 13218.6-80
Автор: 
Домашняя страница автора: 

ГОСТ 11262-80

E-mail автора: 

Пластмассы. Метод испытания на растяжение

Обозначение: ГОСТ 11262-80
Статус: действующий
Название рус.: Пластмассы. Метод испытания на растяжение
Название англ.: Plastics. Tensile strength test method
Дата актуализации текста: 19.06.2012
Дата актуализации описания: 19.06.2012
Дата введения в действие: 01.12.1980
Область и условия применения: Настоящий стандарт распространяется на пластмассы и устанавливает метод испытания на растяжение.
Стандарт не распространяется на ячеистые пластмассы и пленки толщиной до 1,0 мм
Взамен: ГОСТ 11262-76
Список изменений: №1 от 01.01.1986 (рег. 09.09.1985) «Срок действия продлен»


ГОСТ 11262-80
ГОСТ 11262-80
ГОСТ 11262-80
ГОСТ 11262-80
ГОСТ 11262-80
ГОСТ 11262-80
ГОСТ 11262-80
ГОСТ 11262-80
ГОСТ 11262-80
ГОСТ 11262-80
ГОСТ 11262-80
ГОСТ 11262-80
ГОСТ 11262-80
ГОСТ 11262-80
ГОСТ 11262-80
ГОСТ 11262-80
Автор: 
Домашняя страница автора: 

ГОСТ 14048.8-80

E-mail автора: 

Концентраты цинковые. Метод определения серы

Обозначение: ГОСТ 14048.8-80
Статус: действующий
Название рус.: Концентраты цинковые. Метод определения серы
Название англ.: Zinc concentrates. Method for the determination of sulphur
Дата актуализации текста: 19.06.2012
Дата актуализации описания: 19.06.2012
Дата введения в действие: 01.07.1981
Область и условия применения: Настоящий стандарт распространяется на цинковые концентраты всех марок и устанавливает гравиметрический метод определения серы от 25 до 40%
Взамен: ГОСТ 14048.8-71
Список изменений: №1 от 01.08.1991 (рег. 11.03.1991) «Поправка»


ГОСТ 14048.8-80
ГОСТ 14048.8-80
ГОСТ 14048.8-80
ГОСТ 14048.8-80
Автор: 
Домашняя страница автора: 

ГОСТ 12638-80

E-mail автора: 

Заклепки пустотелые со скругленной головкой. Технические условия

Обозначение: ГОСТ 12638-80
Статус: действующий
Название рус.: Заклепки пустотелые со скругленной головкой. Технические условия
Название англ.: Hollow edge-rounded-head rivets. Specifications
Дата актуализации текста: 19.06.2012
Дата актуализации описания: 19.06.2012
Дата введения в действие: 01.01.1982
Область и условия применения: Настоящий стандарт распространяется на пустотелые заклепки со скругленной головкой с диаметром стержня от 1 до 20 мм. Заклепки пустотелые со скругленной головкой должны удовлетворять всем требованиям ГОСТ 12644-80 и требованиям, изложенным в соответствующих разделах настоящего стандарта
Взамен: ГОСТ 12638-67
Список изменений: №1 от 01.01.1987 (рег. 04.03.1986) «Срок действия продлен»
№2 от 01.01.1991 (рег. 20.08.1990) «Срок действия продлен»


ГОСТ 12638-80
ГОСТ 12638-80
ГОСТ 12638-80
ГОСТ 12638-80
ГОСТ 12638-80
ГОСТ 12638-80
ГОСТ 12638-80
ГОСТ 12638-80
ГОСТ 12638-80
Автор: 
Домашняя страница автора: 

ГОСТ 10456-80

E-mail автора: 

Пластмассы. Метод определения поведения пластмасс при контакте с раскаленным стержнем

Обозначение: ГОСТ 10456-80
Статус: действующий
Название рус.: Пластмассы. Метод определения поведения пластмасс при контакте с раскаленным стержнем
Название англ.: Plastics. Method for determination of incandescence resistance
Дата актуализации текста: 19.06.2012
Дата актуализации описания: 19.06.2012
Дата введения в действие: 01.07.1980
Область и условия применения: Настоящий стандарт распространяется на пластмассы и устанавливает метод определения поведения пластмасс при контакте с раскаленным стержнем.
Стандарт не распространяется на ячеистые пластмассы
Взамен: ГОСТ 10456-69
Список изменений: №0 от 28.05.1987 (рег. 28.05.1987) «Срок действия продлен»


ГОСТ 10456-80
ГОСТ 10456-80
ГОСТ 10456-80
ГОСТ 10456-80
ГОСТ 10456-80
ГОСТ 10456-80
Автор: 
Домашняя страница автора: 

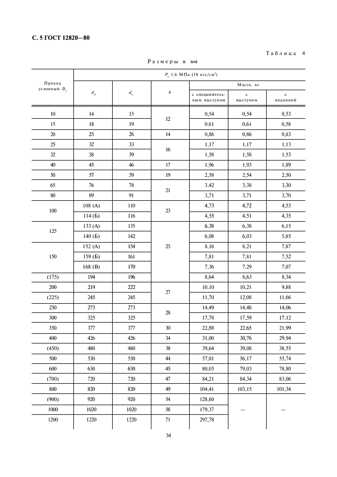
ГОСТ 12820-80

E-mail автора: 

Фланцы стальные плоские приварные на Ру от 0,1 до 2,5 МПа (от 1 до 25 кгс/см кв.). Конструкция и размеры

Обозначение: ГОСТ 12820-80
Статус: действующий
Название рус.: Фланцы стальные плоские приварные на Ру от 0,1 до 2,5 МПа (от 1 до 25 кгс/см кв.). Конструкция и размеры
Название англ.: Steel plane welded flanges for Pnom from 0,1 to 2,5 MPa (from 1to 25 kgf/sq sm). Design and dimensions
Дата актуализации текста: 19.06.2012
Дата актуализации описания: 19.06.2012
Дата введения в действие: 01.01.1983
Область и условия применения: Настоящий стандарт распространяется на стальные плоские приварные фланцы трубопроводов и соединительных частей, а также на присоединительные фланцы арматуры, соединительных частей машин, приборов, патрубков аппаратов и резервуаров на условное давление Py от 0,1 до 2,5 МПа (от 1 до 25 кгс/см кв.) и температуру от 203 до 573 К (от минус 70 до плюс 300 град. С)
Взамен: ГОСТ 1255-67 ГОСТ 9938-62 ГОСТ 12827-67 ГОСТ 12828-67
Список изменений: №1 от 01.07.1983 (рег. 11.03.1983) «Срок действия продлен»
№2 от 01.07.1988 (рег. 25.12.1987) «Срок действия продлен»
№3 от 01.04.1990 (рег. 08.09.1989) «Срок действия продлен»
№4 от 01.10.1992 (рег. 15.04.1992) «Срок действия продлен»


ГОСТ 12820-80
ГОСТ 12820-80
ГОСТ 12820-80
ГОСТ 12820-80
ГОСТ 12820-80
ГОСТ 12820-80
ГОСТ 12820-80
ГОСТ 12820-80
ГОСТ 12820-80
ГОСТ 12820-80
ГОСТ 12820-80
Автор: 
Домашняя страница автора: 

ГОСТ 10222-81

E-mail автора: 

Шеверы дисковые мелкомодульные. Технические условия

Обозначение: ГОСТ 10222-81
Статус: действующий
Название рус.: Шеверы дисковые мелкомодульные. Технические условия
Название англ.: Fine-module disk shaving cutters. Specifications
Дата актуализации текста: 19.06.2012
Дата актуализации описания: 19.06.2012
Дата введения в действие: 01.07.1982
Область и условия применения: Настоящий стандарт распространяется на дисковые мелкомодульные шеверы для обработки цилиндрических зубчатых колес с исходным контуром
Взамен: ГОСТ 10222-62
Список изменений: №1 от 01.01.1985 (рег. 31.08.1984) «Срок действия продлен»
№2 от 01.10.1987 (рег. 10.04.1987) «Срок действия продлен»
№3 от 01.05.1992 (рег. 19.11.1991) «Срок действия продлен»


ГОСТ 10222-81
ГОСТ 10222-81
ГОСТ 10222-81
ГОСТ 10222-81
ГОСТ 10222-81
ГОСТ 10222-81
ГОСТ 10222-81
ГОСТ 10222-81
ГОСТ 10222-81
ГОСТ 10222-81
ГОСТ 10222-81
ГОСТ 10222-81
ГОСТ 10222-81
ГОСТ 10222-81
ГОСТ 10222-81
ГОСТ 10222-81
ГОСТ 10222-81
ГОСТ 10222-81
ГОСТ 10222-81
ГОСТ 10222-81
ГОСТ 10222-81
ГОСТ 10222-81
ГОСТ 10222-81
ГОСТ 10222-81
Автор: 
Домашняя страница автора: 

Страницы