Наша группа Вконтакте vk.com/4ertimcom

ГОСТ 6001-10000

ГОСТ 7631-2008

E-mail автора: 

Рыба, нерыбные объекты и продукция из них. Методы определения органолептических и физических показателей

Обозначение: ГОСТ 7631-2008
Статус: действующий
Название рус.: Рыба, нерыбные объекты и продукция из них. Методы определения органолептических и физических показателей
Название англ.: Fish, non fish objects and products from them. Methods of sensory and physical characteristics identification
Дата актуализации текста: 19.06.2012
Дата актуализации описания: 19.06.2012
Дата введения в действие: 01.01.2009
Область и условия применения: Настоящий стандарт распространяется на рыбу, нерыбные объекты и продукцию из них и устанавливает методы определения органолептических и физических показателей.
Настоящий стандарт не распространяется на консервы и пресервы, сухие супы, водоросли, морские травы и продукцию, вырабатываемую из них, кроме кулинарных изделий, а также на кожевенное, меховое и техническое сырье из водных млекопитающих.
Настоящий стандарт применяют совместно с ГОСТ 7636 в части определения органолептических и физических показателей
Взамен в части: ГОСТ 7631-85 в части определения органолептических и физических показателей


ГОСТ 7631-2008
ГОСТ 7631-2008
ГОСТ 7631-2008
ГОСТ 7631-2008
ГОСТ 7631-2008
ГОСТ 7631-2008
ГОСТ 7631-2008
ГОСТ 7631-2008
ГОСТ 7631-2008
ГОСТ 7631-2008
ГОСТ 7631-2008
ГОСТ 7631-2008
ГОСТ 7631-2008
ГОСТ 7631-2008
ГОСТ 7631-2008
Автор: 
Домашняя страница автора: 

ГОСТ Р ИСО 9241-1-2007

E-mail автора: 

Эргономические требования к проведению офисных работ с использованием видеодисплейных терминалов (VDTs). Часть 1. Общее введение

Обозначение: ГОСТ Р ИСО 9241-1-2007
Статус: действующий
Название рус.: Эргономические требования к проведению офисных работ с использованием видеодисплейных терминалов (VDTs). Часть 1. Общее введение
Название англ.: Ergonomic requirements for office work with visual display terminals (VDTs). Part 1. General introduction
Дата актуализации текста: 19.06.2012
Дата актуализации описания: 19.06.2012
Дата введения в действие: 01.06.2008
Область и условия применения: Настоящий стандарт:
- является вводным в серии стандартов по эргономическим требованиям к проведению офисных работ с использованием видеодисплейных терминалов (VDTs);
- обеспечивает руководством по применению подхода, ориентированного на пользователя;
- дает обзор всех уже опубликованных частей ИСО 9241 и содержание разрабатываемых частей;
- обеспечивает руководством по применению ИСО 9241;
- описывает, как устанавливается соответствие ИСО 9241


ГОСТ Р ИСО 9241-1-2007
ГОСТ Р ИСО 9241-1-2007
ГОСТ Р ИСО 9241-1-2007
ГОСТ Р ИСО 9241-1-2007
ГОСТ Р ИСО 9241-1-2007
ГОСТ Р ИСО 9241-1-2007
ГОСТ Р ИСО 9241-1-2007
ГОСТ Р ИСО 9241-1-2007
ГОСТ Р ИСО 9241-1-2007
ГОСТ Р ИСО 9241-1-2007
ГОСТ Р ИСО 9241-1-2007
ГОСТ Р ИСО 9241-1-2007
ГОСТ Р ИСО 9241-1-2007
ГОСТ Р ИСО 9241-1-2007
ГОСТ Р ИСО 9241-1-2007
ГОСТ Р ИСО 9241-1-2007
ГОСТ Р ИСО 9241-1-2007
ГОСТ Р ИСО 9241-1-2007
ГОСТ Р ИСО 9241-1-2007
ГОСТ Р ИСО 9241-1-2007
Автор: 
Домашняя страница автора: 

ГОСТ Р ИСО 7731-2007

E-mail автора: 

Эргономика. Сигналы опасности для административных и рабочих помещений. Звуковые сигналы опасности

Обозначение: ГОСТ Р ИСО 7731-2007
Статус: действующий
Название рус.: Эргономика. Сигналы опасности для административных и рабочих помещений. Звуковые сигналы опасности
Название англ.: Ergonomics. Danger signals for public and work areas. Auditory danger signals
Дата актуализации текста: 19.06.2012
Дата актуализации описания: 19.06.2012
Дата введения в действие: 01.06.2008
Область и условия применения: Настоящий стандарт определяет физические принципы построения, эргономические требования и соответствующие методы испытаний сигналов опасности для общественных мест и на производстве в части получения сигналов и дает рекомендации для построения сигналов. Он может также применяться к другим соответствующим ситуациям.
Настоящий стандарт не применяется к устным предупреждениям об опасности (например, крики, объявления по громкоговорителю).
Настоящий стандарт не распространяется на специальные инструкции, например, действующие при бедствиях и в общественном транспорте


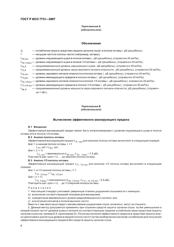
ГОСТ Р ИСО 7731-2007
ГОСТ Р ИСО 7731-2007
ГОСТ Р ИСО 7731-2007
ГОСТ Р ИСО 7731-2007
ГОСТ Р ИСО 7731-2007
ГОСТ Р ИСО 7731-2007
ГОСТ Р ИСО 7731-2007
ГОСТ Р ИСО 7731-2007
ГОСТ Р ИСО 7731-2007
ГОСТ Р ИСО 7731-2007
ГОСТ Р ИСО 7731-2007
ГОСТ Р ИСО 7731-2007
ГОСТ Р ИСО 7731-2007
ГОСТ Р ИСО 7731-2007
ГОСТ Р ИСО 7731-2007
ГОСТ Р ИСО 7731-2007
Автор: 
Домашняя страница автора: 

ГОСТ Р ИСО 6385-2007

E-mail автора: 

Эргономика. Применение эргономических принципов при проектировании производственных систем

Обозначение: ГОСТ Р ИСО 6385-2007
Статус: действующий
Название рус.: Эргономика. Применение эргономических принципов при проектировании производственных систем
Название англ.: Ergonomics. Ergonomic principles in the design of work systems
Дата актуализации текста: 19.06.2012
Дата актуализации описания: 19.06.2012
Дата введения в действие: 01.06.2008
Область и условия применения: Настоящий стандарт устанавливает основополагающие руководящие указания по проектированию производственных систем на основе фундаментальных принципов эргономики и определяет соответствующие основные термины. Стандарт описывает интегрированный подход к проектированию производственных систем, когда эргономика органически сочетается со всеми аспектами проекта, когда особое внимание уделяется персоналу, учитываются социальные и технические требования при проектировании


ГОСТ Р ИСО 6385-2007
ГОСТ Р ИСО 6385-2007
ГОСТ Р ИСО 6385-2007
ГОСТ Р ИСО 6385-2007
ГОСТ Р ИСО 6385-2007
ГОСТ Р ИСО 6385-2007
ГОСТ Р ИСО 6385-2007
ГОСТ Р ИСО 6385-2007
ГОСТ Р ИСО 6385-2007
ГОСТ Р ИСО 6385-2007
ГОСТ Р ИСО 6385-2007
ГОСТ Р ИСО 6385-2007
ГОСТ Р ИСО 6385-2007
ГОСТ Р ИСО 6385-2007
ГОСТ Р ИСО 6385-2007
ГОСТ Р ИСО 6385-2007
Автор: 
Домашняя страница автора: 

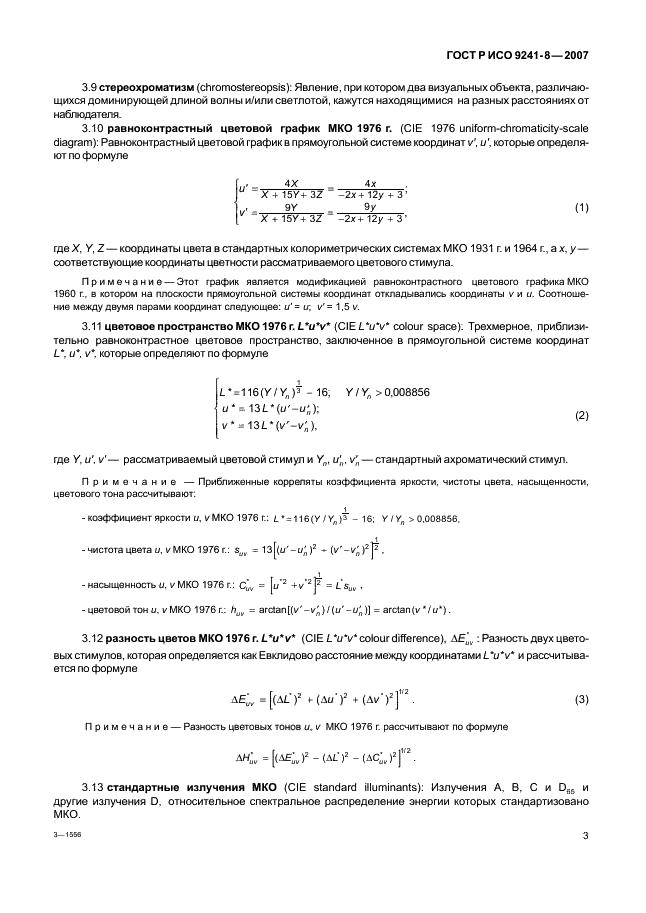
ГОСТ Р ИСО 9241-8-2007

E-mail автора: 

Эргономические требования при выполнении офисных работ с использованием видеодисплейных терминалов (ВДТ). Часть 8. Требования к отображаемым цветам

Обозначение: ГОСТ Р ИСО 9241-8-2007
Статус: действующий
Название рус.: Эргономические требования при выполнении офисных работ с использованием видеодисплейных терминалов (ВДТ). Часть 8. Требования к отображаемым цветам
Название англ.: Ergonomic requirements for office work with visual display terminals (VDTs). Part 8. Requirements for displayed colors
Дата актуализации текста: 19.06.2012
Дата актуализации описания: 19.06.2012
Дата введения в действие: 01.01.2009
Область и условия применения: Настоящий стандарт устанавливает минимум эргономических требований и рекомендаций, чтобы применять их в текстовых и графических отображениях и в изображениях, цвета которых устанавливаются дискретно. Требования настоящего стандарта не распространяются на изображения и графики, получаемые фотографическим способом.
Настоящий стандарт применяют к аппаратным средствам и программному обеспечению ВДТ потому, что эти устройства контролируют представление и воспроизведение цвета на экране дисплея


ГОСТ Р ИСО 9241-8-2007
ГОСТ Р ИСО 9241-8-2007
ГОСТ Р ИСО 9241-8-2007
ГОСТ Р ИСО 9241-8-2007
ГОСТ Р ИСО 9241-8-2007
ГОСТ Р ИСО 9241-8-2007
ГОСТ Р ИСО 9241-8-2007
ГОСТ Р ИСО 9241-8-2007
ГОСТ Р ИСО 9241-8-2007
ГОСТ Р ИСО 9241-8-2007
ГОСТ Р ИСО 9241-8-2007
ГОСТ Р ИСО 9241-8-2007
ГОСТ Р ИСО 9241-8-2007
ГОСТ Р ИСО 9241-8-2007
ГОСТ Р ИСО 9241-8-2007
ГОСТ Р ИСО 9241-8-2007
ГОСТ Р ИСО 9241-8-2007
ГОСТ Р ИСО 9241-8-2007
ГОСТ Р ИСО 9241-8-2007
ГОСТ Р ИСО 9241-8-2007
ГОСТ Р ИСО 9241-8-2007
ГОСТ Р ИСО 9241-8-2007
ГОСТ Р ИСО 9241-8-2007
ГОСТ Р ИСО 9241-8-2007
ГОСТ Р ИСО 9241-8-2007
ГОСТ Р ИСО 9241-8-2007
ГОСТ Р ИСО 9241-8-2007
ГОСТ Р ИСО 9241-8-2007
Автор: 
Домашняя страница автора: 

ГОСТ Р ИСО 9241-7-2007

E-mail автора: 

Эргономические требования при выполнении офисных работ с использованием видеодисплейных терминалов (ВДТ). Часть 7. Требования к дисплеям при наличии отражений

Обозначение: ГОСТ Р ИСО 9241-7-2007
Статус: действующий
Название рус.: Эргономические требования при выполнении офисных работ с использованием видеодисплейных терминалов (ВДТ). Часть 7. Требования к дисплеям при наличии отражений
Название англ.: Ergonomic requirements for office work with visual display terminals (VDTs). Part 7. Requirements for display with reflections
Дата актуализации текста: 19.06.2012
Дата актуализации описания: 19.06.2012
Дата введения в действие: 01.01.2009
Область и условия применения: Настоящий стандарт устанавливает требования к качеству изображения видеодисплейных терминалов (ВДТ), используемых при мешающем внешнем освещении, которое отражается от экрана и может повлиять на качество изображения. В настоящем стандарте установлены требования к заданию на проектирование, определены методы испытаний. Настоящий стандарт применяют при эргономическом конструировании ВДТ для выполнения офисных задач, включая такие действия, как ввод данных, обработка текста и интерактивный опрос. Требования настоящего стандарта применяют к одноцветным и многоцветным ВДТ.
Настоящий стандарт не распространяется на следующие дисплеи и оборудование:
- проекционные дисплеи коллективного пользования;
- просвечивающие дисплеи и дисплеи виртуального отображения


ГОСТ Р ИСО 9241-7-2007
ГОСТ Р ИСО 9241-7-2007
ГОСТ Р ИСО 9241-7-2007
ГОСТ Р ИСО 9241-7-2007
ГОСТ Р ИСО 9241-7-2007
ГОСТ Р ИСО 9241-7-2007
ГОСТ Р ИСО 9241-7-2007
ГОСТ Р ИСО 9241-7-2007
ГОСТ Р ИСО 9241-7-2007
ГОСТ Р ИСО 9241-7-2007
ГОСТ Р ИСО 9241-7-2007
ГОСТ Р ИСО 9241-7-2007
ГОСТ Р ИСО 9241-7-2007
ГОСТ Р ИСО 9241-7-2007
ГОСТ Р ИСО 9241-7-2007
ГОСТ Р ИСО 9241-7-2007
ГОСТ Р ИСО 9241-7-2007
ГОСТ Р ИСО 9241-7-2007
ГОСТ Р ИСО 9241-7-2007
ГОСТ Р ИСО 9241-7-2007
ГОСТ Р ИСО 9241-7-2007
ГОСТ Р ИСО 9241-7-2007
ГОСТ Р ИСО 9241-7-2007
ГОСТ Р ИСО 9241-7-2007
ГОСТ Р ИСО 9241-7-2007
ГОСТ Р ИСО 9241-7-2007
ГОСТ Р ИСО 9241-7-2007
ГОСТ Р ИСО 9241-7-2007
ГОСТ Р ИСО 9241-7-2007
ГОСТ Р ИСО 9241-7-2007
ГОСТ Р ИСО 9241-7-2007
ГОСТ Р ИСО 9241-7-2007
Автор: 
Домашняя страница автора: 

ГОСТ Р ИСО 9003-96

E-mail автора: 

Система качества. Модель обеспечения качества при окончательном контроле и испытаниях

Обозначение: ГОСТ Р ИСО 9003-96
Статус: отменён
Название рус.: Система качества. Модель обеспечения качества при окончательном контроле и испытаниях
Название англ.: Quality system. Model for quality assurance in final inspection and test
Дата актуализации текста: 19.06.2012
Дата актуализации описания: 19.06.2012
Область и условия применения: Настоящий стандарт устанавливает требования к системе качества, необходимые для оценки возможности поставщика выявлять любые несоответствия продукции и управлять утилизацией этой продукции в процессе окончательного контроля и испытаний.
Стандарт применяется в ситуациях, когда соответствие продукции установленным требованиям может быть продемонстрировано с достаточной уверенностью при условии, что определенные возможности поставщика проводить контроль и испытания изготовленной продукции могут быть подтверждены удовлетворительным образом
Список изменений: №0 от 15.12.2003 (рег. 15.08.2001) «Текстовое изменение; Изменено заглавие»





Автор: 
Домашняя страница автора: 

ГОСТ Р ИСО 9002-96

E-mail автора: 

Системы качества. Модель обеспечения качества при производстве, монтаже и обслуживании

Обозначение: ГОСТ Р ИСО 9002-96
Статус: отменён
Название рус.: Системы качества. Модель обеспечения качества при производстве, монтаже и обслуживании
Название англ.: Quality systems. Model for quality assurance in productoin, installation and servicing
Дата актуализации текста: 19.06.2012
Дата актуализации описания: 19.06.2012
Область и условия применения: Настоящий стандарт устанавливает требования к системе качества, необходимые для оценки возможности поставщика поставлять продукцию, соответствующую требованиям, по разработанному проекту.
Настоящий стандарт применяется в следующих ситуациях:
а) установленные требования к продукции сформулированы в виде разработанного проекта или документа технических требований;
б) уверенность в соответствии продукции установленным требованиям можно получить посредством адекватной демонстрации возможностей поставщика в области производства, монтажа и обслуживания
Список изменений: №0 от 15.12.2003 (рег. 15.08.2001) «Текстовое изменение; Изменено заглавие»





Автор: 
Домашняя страница автора: 

ГОСТ Р ИСО 9001-96

E-mail автора: 

Системы качества. Модель обеспечения качества при проектировании, разработке, производстве, монтаже и обслуживании

Обозначение: ГОСТ Р ИСО 9001-96
Статус: отменён
Название рус.: Системы качества. Модель обеспечения качества при проектировании, разработке, производстве, монтаже и обслуживании
Название англ.: Quality systems. Model for quality assurance in design, development, production, installation and servicing
Дата актуализации текста: 19.06.2012
Дата актуализации описания: 19.06.2012
Область и условия применения: Настоящий стандарт устанавливает требования к системе качества, необходимые для оценки возможности поставщика проектировать и поставлять продукцию, соответствующую установленным требованиям.
Настоящий стандарт применяется в следующих ситуациях:
а) необходимо спроектировать продукцию, требования к которой установлены преимущественно в виде эксплуатационных характеристик или их нужно установить;
б) уверенность в соответствии продукции установленным требованиям можно получить посредством адекватной демонстрации возможностей поставщика в области проектирования, разработки, производства, монтажа и обслуживания
Список изменений: №0 от 15.12.2003 (рег. 15.08.2001) «Текстовое изменение; Изменено заглавие»





Автор: 
Домашняя страница автора: 

ГОСТ Р ИСО 8124-3-99

E-mail автора: 

Игрушки. Общие требования безопасности и методы испытаний. Выделение вредных для здоровья ребенка элементов

Обозначение: ГОСТ Р ИСО 8124-3-99
Статус: отменён
Название рус.: Игрушки. Общие требования безопасности и методы испытаний. Выделение вредных для здоровья ребенка элементов
Название англ.: Toys. General safety requirements and methods of tests. Emission of toxic for children elements
Дата актуализации текста: 19.06.2012
Дата актуализации описания: 19.06.2012
Область и условия применения: Настоящий стандарт устанавливает требования и методы контроля выделения вредных для здоровья ребенка элементов (сурьма, мышьяк, барий, кадмий, хром, свинец, ртуть и селен), содержащихся в материалах игрушки и ее составных частях, за исключением недоступных для контакта материалов.
Требования настоящего стандарта распространяются на растворимые соединения этих элементов и не нормируют их общее содержание в материалах игрушки.
Настоящий стандарт не применяется для игрушек или деталей игрушек, которые исключают возможность проникания токсичных элементов в организм ребенка, поскольку он не будет брать их в рот
Список изменений: №0 от 01.06.2006 (рег. 23.12.2005) «Текстовое изменение; Изменено заглавие»
№0 от 01.05.2001 (рег. 01.05.2001) «Дата введения перенесена»





Автор: 
Домашняя страница автора: 

Страницы