Наша группа Вконтакте vk.com/4ertimcom

ГОСТ 6001-10000

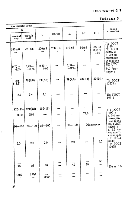
ГОСТ 7247-90

E-mail автора: 

Бумага для упаковывания пищевых продуктов на автоматах. Технические условия

Обозначение: ГОСТ 7247-90
Статус: заменён
Название рус.: Бумага для упаковывания пищевых продуктов на автоматах. Технические условия
Название англ.: Automatic food packaging paper. Specifications
Дата актуализации текста: 19.06.2012
Дата актуализации описания: 19.06.2012
Дата введения в действие: 01.01.1992
Область и условия применения: Настоящий стандарт распространяется на бумагу, предназначенную для изготовления пачек, коробок, пакетов, стаканчиков с нанесением печати или без нее, используемых для упаковывания пищевых продуктов на автоматах
Взамен: ГОСТ 7247-73
Заменяющий: ГОСТ 7247-2006
Список изменений: №0 от 15.10.2001 (рег. 15.10.2001) «Дата введения перенесена»
Приложение №1: Поправка к ГОСТ 7247-90


ГОСТ 7247-90
ГОСТ 7247-90
ГОСТ 7247-90
ГОСТ 7247-90
ГОСТ 7247-90
ГОСТ 7247-90
ГОСТ 7247-90
ГОСТ 7247-90
ГОСТ 7247-90
ГОСТ 7247-90
ГОСТ 7247-90
ГОСТ 7247-90
ГОСТ 7247-90


Поправка к ГОСТ 7247-90

Обозначение: Поправка к ГОСТ 7247-90
Дата введения в действие: 15.10.2001
Дата актуализации: 15.01.2008


Поправка к ГОСТ 7247-90
Автор: 
Домашняя страница автора: 

ГОСТ 9626-90

E-mail автора: 

Древесина слоистая клееная. Метод определения ударной вязкости при изгибе

Обозначение: ГОСТ 9626-90
Статус: действующий
Название рус.: Древесина слоистая клееная. Метод определения ударной вязкости при изгибе
Название англ.: Laminated glued wood. Method for determination of impact viscosity in bending
Дата актуализации текста: 19.06.2012
Дата актуализации описания: 19.06.2012
Дата введения в действие: 01.01.1991
Область и условия применения: Настоящий стандарт распространяется на фанеру, фанерные и столярные плиты, древесные слоистые пластики и устанавливает метод определения ударной вязкости при изгибе.
Метод основан на определении энергии, затраченной на разрушение образца
Взамен: ГОСТ 9626-75


ГОСТ 9626-90
ГОСТ 9626-90
ГОСТ 9626-90
ГОСТ 9626-90
ГОСТ 9626-90
Автор: 
Домашняя страница автора: 

ГОСТ 6221-90

E-mail автора: 

Аммиак жидкий технический. Технические условия

Обозначение: ГОСТ 6221-90
Статус: действующий
Название рус.: Аммиак жидкий технический. Технические условия
Название англ.: Technical liquid ammonia. Specifications
Дата актуализации текста: 19.06.2012
Дата актуализации описания: 19.06.2012
Дата введения в действие: 01.01.1991
Область и условия применения: Настоящий стандарт распространяется на технический сжиженный безводный аммиак, используемый в различных отраслях промышленности и сельском хозяйстве, и устанавливает требования к сжиженному безводному аммиаку, изготовляемому для народного хозяйства и экспорта
Взамен в части: ГОСТ 6221-82, кроме пп. 4.4 - 4.9, приложений 1, 2
Список изменений: №1 от 01.03.2009 (рег. 13.10.2008) «Текстовое изменение; Изменено заглавие; Изменены ссылочные НД»
Приложение №1: Изменение №1 к ГОСТ 6221-90


ГОСТ 6221-90
ГОСТ 6221-90
ГОСТ 6221-90
ГОСТ 6221-90
ГОСТ 6221-90
ГОСТ 6221-90
ГОСТ 6221-90
ГОСТ 6221-90
ГОСТ 6221-90
ГОСТ 6221-90
ГОСТ 6221-90
ГОСТ 6221-90
ГОСТ 6221-90
ГОСТ 6221-90
ГОСТ 6221-90
ГОСТ 6221-90
ГОСТ 6221-90
ГОСТ 6221-90
ГОСТ 6221-90
ГОСТ 6221-90
ГОСТ 6221-90
ГОСТ 6221-90
ГОСТ 6221-90
ГОСТ 6221-90
ГОСТ 6221-90
ГОСТ 6221-90


Изменение №1 к ГОСТ 6221-90

Обозначение: Изменение №1 к ГОСТ 6221-90
Дата введения в действие: 01.03.2009
Дата актуализации: 28.01.2009


Изменение №1 к ГОСТ 6221-90
Изменение №1 к ГОСТ 6221-90
Изменение №1 к ГОСТ 6221-90
Изменение №1 к ГОСТ 6221-90
Изменение №1 к ГОСТ 6221-90
Изменение №1 к ГОСТ 6221-90
Изменение №1 к ГОСТ 6221-90
Автор: 
Домашняя страница автора: 

ГОСТ 8719-90

E-mail автора: 

Угли бурые, каменные и антрацит. Метод определения гигроскопической влаги

Обозначение: ГОСТ 8719-90
Статус: действующий
Название рус.: Угли бурые, каменные и антрацит. Метод определения гигроскопической влаги
Название англ.: Brown coals, hard coals and anthracite. Method for determination of hygroscopic moisture
Дата актуализации текста: 19.06.2012
Дата актуализации описания: 19.06.2012
Дата введения в действие: 01.01.1992
Область и условия применения: Настоящий стандарт распространяется на бурые, каменные угли и антрацит и устанавливает метод определения массовой доли гигроскопической влаги
Взамен: ГОСТ 8719-70


ГОСТ 8719-90
ГОСТ 8719-90
ГОСТ 8719-90
ГОСТ 8719-90
ГОСТ 8719-90
Автор: 
Домашняя страница автора: 

ГОСТ 6388-91

E-mail автора: 

Щетки зубные. Общие технические условия

Обозначение: ГОСТ 6388-91
Статус: действующий
Название рус.: Щетки зубные. Общие технические условия
Название англ.: Tooth-brushes. General specifications
Дата актуализации текста: 19.06.2012
Дата актуализации описания: 19.06.2012
Дата введения в действие: 01.01.1993
Область и условия применения: Настоящий стандарт распространяется на зубные щетки, предназначенные для гигиены полости рта.
Стандарт не распространяется на зубные щетки, которые имеют механический, электрический или другой привод
Взамен: ГОСТ 6388-85


ГОСТ 6388-91
ГОСТ 6388-91
ГОСТ 6388-91
ГОСТ 6388-91
ГОСТ 6388-91
ГОСТ 6388-91
ГОСТ 6388-91
ГОСТ 6388-91
ГОСТ 6388-91
ГОСТ 6388-91
ГОСТ 6388-91
ГОСТ 6388-91
ГОСТ 6388-91
ГОСТ 6388-91
ГОСТ 6388-91
ГОСТ 6388-91
Автор: 
Домашняя страница автора: 

ГОСТ 7001-91

E-mail автора: 

Картофель семенной. Технические условия

Обозначение: ГОСТ 7001-91
Статус: утратил силу в РФ
Название рус.: Картофель семенной. Технические условия
Название англ.: Seed potatoes. Specifications
Дата актуализации текста: 19.06.2012
Дата актуализации описания: 19.06.2012
Дата введения в действие: 01.07.1992
Область и условия применения: Настоящий стандарт распространяется на семенной картофель и устанавливает его сортовые и посевные качества
Взамен: ГОСТ 7001-89
Список изменений: №0 от 01.01.2010 (рег. 18.12.2008) «Поправка к изменению»
№1 от 01.07.1993 (рег. 01.09.1992) «Срок действия продлен»
№2 от 01.01.1998 (рег. 18.08.1997) «Срок действия продлен»


ГОСТ 7001-91
ГОСТ 7001-91
ГОСТ 7001-91
ГОСТ 7001-91
ГОСТ 7001-91
ГОСТ 7001-91
ГОСТ 7001-91
ГОСТ 7001-91
ГОСТ 7001-91
ГОСТ 7001-91
ГОСТ 7001-91
ГОСТ 7001-91
ГОСТ 7001-91
ГОСТ 7001-91
ГОСТ 7001-91
ГОСТ 7001-91
ГОСТ 7001-91
ГОСТ 7001-91
ГОСТ 7001-91
Автор: 
Домашняя страница автора: 

ГОСТ 7396.2-91

E-mail автора: 

Соединители электрические штепсельные бытового и аналогичного назначения. Частные требования к вилкам с предохранителями. Общие технические условия

Обозначение: ГОСТ 7396.2-91
Статус: действующий
Название рус.: Соединители электрические штепсельные бытового и аналогичного назначения. Частные требования к вилкам с предохранителями. Общие технические условия
Название англ.: Plugs and socket-outlets for household and similar purposes. Particular requirements for fused plugs. General specifications
Дата актуализации текста: 19.06.2012


ГОСТ 7396.2-91
ГОСТ 7396.2-91
ГОСТ 7396.2-91
ГОСТ 7396.2-91
ГОСТ 7396.2-91
ГОСТ 7396.2-91
ГОСТ 7396.2-91
ГОСТ 7396.2-91
Автор: 
Домашняя страница автора: 

ГОСТ 7329-91

E-mail автора: 

Изделия из стекла химико-лабораторного и электровакуумного. Метод проляризационно-оптического измерения разности хода лучей

Обозначение: ГОСТ 7329-91
Статус: действующий
Название рус.: Изделия из стекла химико-лабораторного и электровакуумного. Метод проляризационно-оптического измерения разности хода лучей
Название англ.: Chemical laboratory and electrovacuum glassware. Polarizable and optical method of path-length difference measuring
Дата актуализации текста: 19.06.2012
Дата актуализации описания: 19.06.2012
Дата введения в действие: 01.01.1993
Область и условия применения: Настоящий стандарт распространяется на изделия из прозрачного бесцветного или слабо окрашенного химико-лабораторного и электровакуумного стекла и устанавливает метод поляризационно-оптического измерения разности хода лучей
Взамен: ГОСТ 7329-74


ГОСТ 7329-91
ГОСТ 7329-91
ГОСТ 7329-91
ГОСТ 7329-91
ГОСТ 7329-91
ГОСТ 7329-91
ГОСТ 7329-91
ГОСТ 7329-91
ГОСТ 7329-91
ГОСТ 7329-91
ГОСТ 7329-91
ГОСТ 7329-91
ГОСТ 7329-91
ГОСТ 7329-91
Автор: 
Домашняя страница автора: 

ГОСТ 7457-91

E-mail автора: 

Консервы рыбные. Паштеты. Технические условия

Обозначение: ГОСТ 7457-91
Статус: заменён
Название рус.: Консервы рыбные. Паштеты. Технические условия
Название англ.: Canned fish. Pastes. Specifications
Дата актуализации текста: 19.06.2012
Дата актуализации описания: 19.06.2012
Дата введения в действие: 01.07.1992
Область и условия применения: Настоящий стандарт распространяется на консервы, изготовленные из рыбы, рыбного фарша, печени, сердца, икры или молок рыб с добавлением или без добавления пасты “Океан“, фарша антарктической креветки (криля), китового мяса, пищевой печени китов, а также тушек и кусков рыбы, образующихся в процессе изготовления консервов и рыбы горячего копчения
Взамен: ГОСТ 7457-64
Заменяющий: ГОСТ 7457-2007


ГОСТ 7457-91
ГОСТ 7457-91
ГОСТ 7457-91
ГОСТ 7457-91
ГОСТ 7457-91
ГОСТ 7457-91
ГОСТ 7457-91
Автор: 
Домашняя страница автора: 

ГОСТ 7128-91

E-mail автора: 

Изделия хлебобулочные бараночные. Технические условия

Обозначение: ГОСТ 7128-91
Статус: действующий
Название рус.: Изделия хлебобулочные бараночные. Технические условия
Название англ.: Ring shaped rolls. Specifications
Дата актуализации текста: 19.06.2012
Дата актуализации описания: 19.06.2012
Дата введения в действие: 01.01.1993
Область и условия применения: Настоящий стандарт распространяется на бараночные хлебобулочные изделия, вырабатываемые из пшеничной муки высшего или первого сортов и другого сырья
Взамен: ГОСТ 7128-81
Заменяющий в части: ГОСТ 5670-96 в части п. 3.7
Список изменений: №1 от 01.01.2002 (рег. 10.04.2001) «Срок действия продлен»
Приложение №1: Изменение №1 к ГОСТ 7128-91


ГОСТ 7128-91
ГОСТ 7128-91
ГОСТ 7128-91
ГОСТ 7128-91
ГОСТ 7128-91
ГОСТ 7128-91
ГОСТ 7128-91
ГОСТ 7128-91
ГОСТ 7128-91
ГОСТ 7128-91
ГОСТ 7128-91
ГОСТ 7128-91
ГОСТ 7128-91
ГОСТ 7128-91


Изменение №1 к ГОСТ 7128-91

Обозначение: Изменение №1 к ГОСТ 7128-91
Дата введения в действие: 01.01.2002
Дата актуализации: 15.01.2008


Изменение №1 к ГОСТ 7128-91
Изменение №1 к ГОСТ 7128-91
Изменение №1 к ГОСТ 7128-91
Изменение №1 к ГОСТ 7128-91
Изменение №1 к ГОСТ 7128-91
Изменение №1 к ГОСТ 7128-91
Автор: 
Домашняя страница автора: 

Страницы