Наша группа Вконтакте vk.com/4ertimcom
ГОСТ 3509-71
E-mail автора:
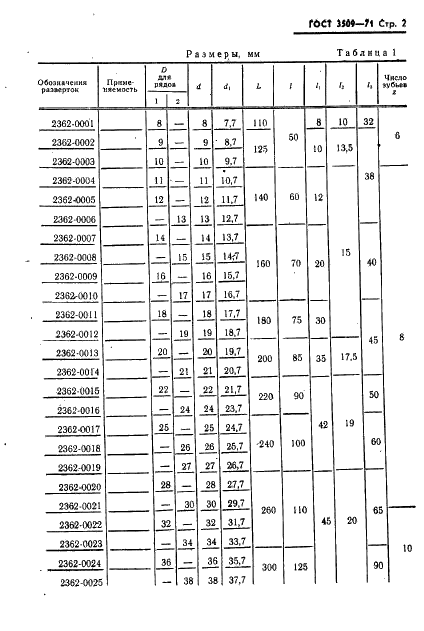
Развертки ручные разжимные. Конструкция и размеры
| Обозначение: | ГОСТ 3509-71 |
| Статус: | действующий |
| Название рус.: | Развертки ручные разжимные. Конструкция и размеры |
| Название англ.: | Adjustable hand reamers. Basic dimensions |
| Дата актуализации текста: | 19.06.2012 |
| Дата актуализации описания: | 19.06.2012 |
| Дата введения в действие: | 01.07.1972 |
| Область и условия применения: | Настоящий стандарт устанавливает основные размеры разверток ручных разжимных |
| Взамен: | ГОСТ 3509-65 |
| Список изменений: | №1 от 01.01.1982 (рег. 30.10.1981) «Срок действия продлен» |




Автор:
Домашняя страница автора:
Чертежи бесплатно