Наша группа Вконтакте vk.com/4ertimcom

ГОСТ 27842-88

E-mail автора: 

Хлеб из пшеничной муки. Технические условия

Обозначение: ГОСТ 27842-88
Статус: действующий
Название рус.: Хлеб из пшеничной муки. Технические условия
Название англ.: Wheat bread. Specifications
Дата актуализации текста: 19.06.2012
Дата актуализации описания: 19.06.2012
Дата введения в действие: 01.01.1990
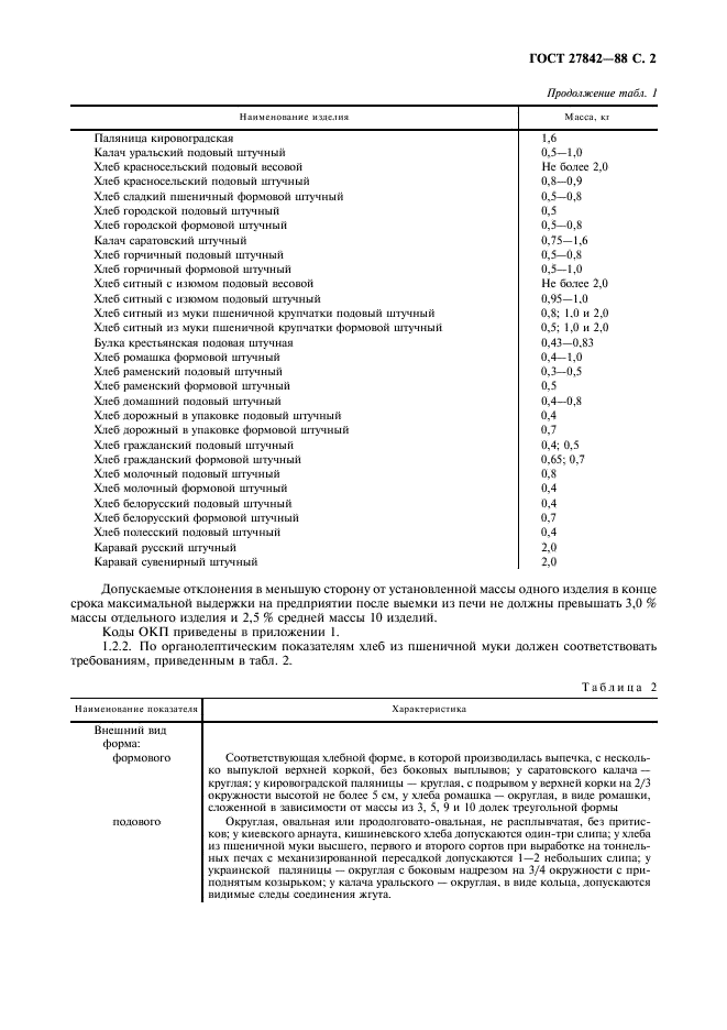
Область и условия применения: Настоящий стандарт распространяется на хлеб, вырабатываемый из муки пшеничной обойной, второго, первого и высшего сортов или из их смеси с добавлением сахара, жира, молока и другого сырья
Взамен: ГОСТ 2078-55 ГОСТ 7318-55 ГОСТ 7777-55 ГОСТ 8055-56 ГОСТ 8438-57 ГОСТ 9259-59 ГОСТ 9512-60 ГОСТ 9714-61 ГОСТ 9830-61 ГОСТ 9905-61 ГОСТ 11316-65 ГОСТ 12791-67 ГОСТ 12793-77 ГОСТ 15950-70 ГОСТ 10074-69 ГОСТ 11835-66 ГОСТ 12267-66 ГОСТ 12792-67 ОСТ 18-149-74 ОСТ 18-183-74 ОСТ 18-200-74 ОСТ 18-230-75 ОСТ 18-313-77 ОСТ 18-314-77 ОСТ 18-324-78 ОСТ 18-327-78
Взамен в части: ОСТ 18-382-81 в части булки крестьянской
Список изменений: №1 от 01.01.1990 (рег. 15.06.1989) «Срок действия продлен»
№2 от 01.03.1993 (рег. 24.09.1992) «Поправка»


ГОСТ 27842-88
ГОСТ 27842-88
ГОСТ 27842-88
ГОСТ 27842-88
ГОСТ 27842-88
ГОСТ 27842-88
ГОСТ 27842-88
ГОСТ 27842-88
ГОСТ 27842-88
ГОСТ 27842-88
ГОСТ 27842-88
ГОСТ 27842-88
Автор: 
Домашняя страница автора: