Наша группа Вконтакте vk.com/4ertimcom
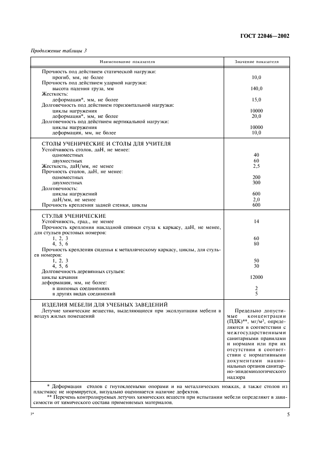
ГОСТ 22046-2002
E-mail автора:
Мебель для учебных заведений. Общие технические условия
| Обозначение: | ГОСТ 22046-2002 | ||
| Статус: | действующий | ||
| Название рус.: | Мебель для учебных заведений. Общие технические условия | ||
| Название англ.: | Furniture for educational institutions. General specifications | ||
| Дата актуализации текста: | 19.06.2012 | ||
| Дата актуализации описания: | 19.06.2012 | ||
| Дата введения в действие: | 01.07.2003 | ||
| Область и условия применения: | Настоящий стандарт распространяется на мебель, предназначенную для оборудования помещений общеобразовательных и профессиональных школ, средних специальных и высших учебных заведений, выпускаемую предприятиями (организациями) любых форм собственности, а также индивидуальными изготовителями. Стандарт не распространяется на встроенную мебель |
||
| Взамен: | ГОСТ 22046-89 | ||
| Список изменений: | №1 от 01.07.2008 (рег. 29.08.2007) «Срок действия продлен» №2 от 01.07.2012 (рег. 14.03.2012) «Срок действия продлен» |
||
| Приложение №1: | Изменение №2 к ГОСТ 22046-2002 | ||




































Изменение №2 к ГОСТ 22046-2002
| Обозначение: | Изменение №2 к ГОСТ 22046-2002 |
| Дата введения в действие: | 01.07.2012 |
| Дата актуализации: | 19.06.2012 |








Автор:
Домашняя страница автора:
Чертежи бесплатно