Наша группа Вконтакте vk.com/4ertimcom

ГОСТ 6001-10000

ГОСТ Р ИСО 7176-2-2005

E-mail автора: 

Кресла-коляски. Часть 2. Определение динамической устойчивости кресел-колясок с электроприводом

Обозначение: ГОСТ Р ИСО 7176-2-2005
Статус: действующий
Название рус.: Кресла-коляски. Часть 2. Определение динамической устойчивости кресел-колясок с электроприводом
Название англ.: Wheelchairs. Part 2. Determination of dynamic stability of electric wheelchairs
Дата актуализации текста: 19.06.2012
Дата актуализации описания: 19.06.2012
Дата введения в действие: 01.01.2006
Область и условия применения: Настоящий стандарт распространяется на кресла-коляски с электроприводом, включая одноместные скутеры, скорость которых не превышает 15 км/ч
Взамен: ГОСТ Р 50731-95


ГОСТ Р ИСО 7176-2-2005
ГОСТ Р ИСО 7176-2-2005
ГОСТ Р ИСО 7176-2-2005
ГОСТ Р ИСО 7176-2-2005
ГОСТ Р ИСО 7176-2-2005
ГОСТ Р ИСО 7176-2-2005
ГОСТ Р ИСО 7176-2-2005
ГОСТ Р ИСО 7176-2-2005
ГОСТ Р ИСО 7176-2-2005
ГОСТ Р ИСО 7176-2-2005
ГОСТ Р ИСО 7176-2-2005
ГОСТ Р ИСО 7176-2-2005
ГОСТ Р ИСО 7176-2-2005
ГОСТ Р ИСО 7176-2-2005
ГОСТ Р ИСО 7176-2-2005
ГОСТ Р ИСО 7176-2-2005
ГОСТ Р ИСО 7176-2-2005
ГОСТ Р ИСО 7176-2-2005
ГОСТ Р ИСО 7176-2-2005
ГОСТ Р ИСО 7176-2-2005
Автор: 
Домашняя страница автора: 

ГОСТ 6032-2003

E-mail автора: 

Стали и сплавы коррозионно-стойкие. Методы испытаний на стойкость к межкристаллитной коррозии

Обозначение: ГОСТ 6032-2003
Статус: действующий
Название рус.: Стали и сплавы коррозионно-стойкие. Методы испытаний на стойкость к межкристаллитной коррозии
Название англ.: Corrosion-resistant steels and alloys. Test methods of intercrystalline corrosion resistance
Дата актуализации текста: 19.06.2012
Дата актуализации описания: 19.06.2012
Дата введения в действие: 01.01.2005
Область и условия применения: Настоящий стандарт устанавливает методы испытаний на стойкость к межкристаллитной коррозии металлопродукции из коррозионно-стойких сталей и сплавов, в том числе двухслойных, аустенитного, ферритного, аустенитно-ферритного, аустенитно-мартенситного классов по ГОСТ 5632, а также их сварных соединений и наплавленного металла
Взамен: ГОСТ 6032-89


ГОСТ 6032-2003
ГОСТ 6032-2003
ГОСТ 6032-2003
ГОСТ 6032-2003
ГОСТ 6032-2003
ГОСТ 6032-2003
ГОСТ 6032-2003
ГОСТ 6032-2003
ГОСТ 6032-2003
ГОСТ 6032-2003
ГОСТ 6032-2003
ГОСТ 6032-2003
ГОСТ 6032-2003
ГОСТ 6032-2003
ГОСТ 6032-2003
ГОСТ 6032-2003
ГОСТ 6032-2003
ГОСТ 6032-2003
ГОСТ 6032-2003
ГОСТ 6032-2003
ГОСТ 6032-2003
ГОСТ 6032-2003
ГОСТ 6032-2003
ГОСТ 6032-2003
ГОСТ 6032-2003
ГОСТ 6032-2003
ГОСТ 6032-2003
Автор: 
Домашняя страница автора: 

ГОСТ 7296-81

E-mail автора: 

Обувь. Маркировка, упаковка, транспортирование и хранение

Обозначение: ГОСТ 7296-81
Статус: действующий
Название рус.: Обувь. Маркировка, упаковка, транспортирование и хранение
Название англ.: Foot-wear. Marking, packing, transportation and storage
Дата актуализации текста: 19.06.2012
Дата актуализации описания: 19.06.2012
Дата введения в действие: 01.07.1982
Область и условия применения: Настоящий стандарт распространяется на обувь с верхом из хромовых и юфтевых кож, искусственных и синтетических материалов, текстиля, фетра, кобминированную и на комплекты обувного кроя для армейской обуви и устанавливает требования к маркировке, упаковке, транспортированию и хранению.
Стандарт не распространяется на резиновую и валяльно-войлочную обувь
Взамен: ГОСТ 7296-68
Список изменений: №1 от 01.08.1983 (рег. 04.03.1983) «Срок действия продлен»
№2 от 01.09.1986 (рег. 17.04.1986) «Срок действия продлен»
№3 от 01.10.1987 (рег. 05.05.1987) «Срок действия продлен»
№4 от 01.01.1988 (рег. 03.09.1987) «Срок действия продлен»


ГОСТ 7296-81
ГОСТ 7296-81
ГОСТ 7296-81
ГОСТ 7296-81
ГОСТ 7296-81
ГОСТ 7296-81
ГОСТ 7296-81
ГОСТ 7296-81
ГОСТ 7296-81
ГОСТ 7296-81
ГОСТ 7296-81
ГОСТ 7296-81
Автор: 
Домашняя страница автора: 

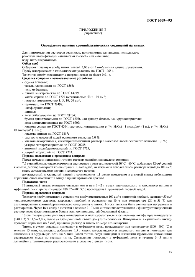
ГОСТ 6309-93

E-mail автора: 

Нитки швейные хлопчатобумажные и синтетические. Технические условия

Обозначение: ГОСТ 6309-93
Статус: действующий
Название рус.: Нитки швейные хлопчатобумажные и синтетические. Технические условия
Название англ.: Cotton and synthetic threads for sewing. Specifications
Дата актуализации текста: 19.06.2012
Дата актуализации описания: 19.06.2012
Дата введения в действие: 01.01.1996
Область и условия применения: Настоящий стандарт распространяется на нитки хлопчатобумажные, армированные с хлопковой и синтетической оплеткой и нитки, вырабатываемые из комплексных и текстурированных нитей, предназначенные для пошива изделий
Взамен: ГОСТ 6309-87 ОСТ 17-257-84 ОСТ 17-592-81 ОСТ 17-921-88


ГОСТ 6309-93
ГОСТ 6309-93
ГОСТ 6309-93
ГОСТ 6309-93
ГОСТ 6309-93
ГОСТ 6309-93
ГОСТ 6309-93
ГОСТ 6309-93
ГОСТ 6309-93
ГОСТ 6309-93
ГОСТ 6309-93
ГОСТ 6309-93
ГОСТ 6309-93
ГОСТ 6309-93
ГОСТ 6309-93
ГОСТ 6309-93
ГОСТ 6309-93
ГОСТ 6309-93
ГОСТ 6309-93
Автор: 
Домашняя страница автора: 

ГОСТ 7566-94

E-mail автора: 

Металлопродукция. Приемка, маркировка, упаковка, транспортирование и хранение

Обозначение: ГОСТ 7566-94
Статус: действующий
Название рус.: Металлопродукция. Приемка, маркировка, упаковка, транспортирование и хранение
Название англ.: Metal products. Acceptance, marking, packing, transportation and storage
Дата актуализации текста: 19.06.2012
Дата актуализации описания: 19.06.2012
Дата введения в действие: 01.01.1998
Область и условия применения: Настоящий стандарт устанавливает требования к приемке, маркировке, упаковке, транспортированию и хранению блюмов, слябов, заготовок, в том числе литых и кованых, сортового, фасонного, калиброванного, холоднотянутого проката, проволоки, круглого проката со специальной отделкой поверхности (в том числе шлифованного), гнутых профилей, листового, широкополосного проката и ленты
Взамен: ГОСТ 7566-81
Список изменений: №1 от 01.01.2002 (рег. 05.04.2001) «Срок действия продлен»
Приложение №1: Изменение №1 к ГОСТ 7566-94


ГОСТ 7566-94
ГОСТ 7566-94
ГОСТ 7566-94
ГОСТ 7566-94
ГОСТ 7566-94
ГОСТ 7566-94
ГОСТ 7566-94
ГОСТ 7566-94
ГОСТ 7566-94
ГОСТ 7566-94
ГОСТ 7566-94
ГОСТ 7566-94
ГОСТ 7566-94
ГОСТ 7566-94
ГОСТ 7566-94
ГОСТ 7566-94


Изменение №1 к ГОСТ 7566-94

Обозначение: Изменение №1 к ГОСТ 7566-94
Дата введения в действие: 01.01.2002
Дата актуализации: 15.01.2008


Изменение №1 к ГОСТ 7566-94
Изменение №1 к ГОСТ 7566-94
Изменение №1 к ГОСТ 7566-94
Изменение №1 к ГОСТ 7566-94
Автор: 
Домашняя страница автора: 

ГОСТ Р ИСО 8573-6-2005

E-mail автора: 

Сжатый воздух. Часть 6. Методы контроля загрязнения газами

Обозначение: ГОСТ Р ИСО 8573-6-2005
Статус: действующий
Название рус.: Сжатый воздух. Часть 6. Методы контроля загрязнения газами
Название англ.: Compressed air. Part 6. Test methods for gaseous contaminant content
Дата актуализации текста: 19.06.2012
Дата актуализации описания: 19.06.2012
Дата введения в действие: 01.01.2006
Область и условия применения: Настоящий стандарт устанавливает методы контроля загрязнения сжатого воздуха газами, в том числе методы отбора проб, порядок выполнения контроля, оценки его результатов, неопределенности измерений и оформления протоколов для загрязнений оксидом углерода, диоксидом углерода, диоксидом серы, диоксидом азота и углеводородами (в ряду от С1 до С5; для С6 и выше - по ИСО 8573-5). Методы используются и в случаях контроля загрязнения другими газами


ГОСТ Р ИСО 8573-6-2005
ГОСТ Р ИСО 8573-6-2005
ГОСТ Р ИСО 8573-6-2005
ГОСТ Р ИСО 8573-6-2005
ГОСТ Р ИСО 8573-6-2005
ГОСТ Р ИСО 8573-6-2005
ГОСТ Р ИСО 8573-6-2005
ГОСТ Р ИСО 8573-6-2005
ГОСТ Р ИСО 8573-6-2005
ГОСТ Р ИСО 8573-6-2005
ГОСТ Р ИСО 8573-6-2005
ГОСТ Р ИСО 8573-6-2005
ГОСТ Р ИСО 8573-6-2005
ГОСТ Р ИСО 8573-6-2005
ГОСТ Р ИСО 8573-6-2005
ГОСТ Р ИСО 8573-6-2005
Автор: 
Домашняя страница автора: 

ГОСТ Р ИСО 7176-9-2005

E-mail автора: 

Кресла-коляски. Часть 9. Климатические испытания кресел-колясок с электроприводом

Обозначение: ГОСТ Р ИСО 7176-9-2005
Статус: действующий
Название рус.: Кресла-коляски. Часть 9. Климатические испытания кресел-колясок с электроприводом
Название англ.: Wheelchairs. Part 9. Climatic test for electric wheelchairs
Дата актуализации текста: 19.06.2012
Дата актуализации описания: 19.06.2012
Дата введения в действие: 01.01.2006
Область и условия применения: Настоящий стандарт распространяется на кресла-коляски с электроприводом, включая одноместные скутеры, скорость которых не превышает 15 км/ч.
Настоящий стандарт устанавливает требования и методы испытаний, позволяющие определить стойкость кресел-колясок к воздействию дождя, конденсата, низких и высоких температур.
Настоящий стандарт не устанавливает требования стойкости к коррозии
Взамен: ГОСТ Р 50925-96


ГОСТ Р ИСО 7176-9-2005
ГОСТ Р ИСО 7176-9-2005
ГОСТ Р ИСО 7176-9-2005
ГОСТ Р ИСО 7176-9-2005
ГОСТ Р ИСО 7176-9-2005
ГОСТ Р ИСО 7176-9-2005
ГОСТ Р ИСО 7176-9-2005
ГОСТ Р ИСО 7176-9-2005
ГОСТ Р ИСО 7176-9-2005
ГОСТ Р ИСО 7176-9-2005
ГОСТ Р ИСО 7176-9-2005
ГОСТ Р ИСО 7176-9-2005
Автор: 
Домашняя страница автора: 

ГОСТ 8918-69

E-mail автора: 

Гайки шестигранные с буртиком. Конструкция

Обозначение: ГОСТ 8918-69
Статус: действующий
Название рус.: Гайки шестигранные с буртиком. Конструкция
Название англ.: Hexagon nuts with bead. Design
Дата актуализации текста: 19.06.2012
Дата актуализации описания: 19.06.2012
Дата введения в действие: 01.07.1970
Область и условия применения: Настоящий стандарт распространяется на шестигранные гайки с буртиком, предназначенные для станочных приспособлений
Взамен: ГОСТ 8918-58
Список изменений: №1 от 01.12.1980 (рег. 30.06.1980) «Срок действия продлен»
№2 от 01.01.1990 (рег. 20.04.1989) «Поправка»


ГОСТ 8918-69
ГОСТ 8918-69
ГОСТ 8918-69
ГОСТ 8918-69
Автор: 
Домашняя страница автора: 

ГОСТ 7397.2-91

E-mail автора: 

Выключатели для бытовых и аналогичных стационарных электрических установок. Частные требования к выключателям для бытовых электрических звонков. Общие технические условия

Обозначение: ГОСТ 7397.2-91
Статус: действующий
Название рус.: Выключатели для бытовых и аналогичных стационарных электрических установок. Частные требования к выключателям для бытовых электрических звонков. Общие технические условия
Название англ.: Switches for household and similar fixed electrical installations. Particular requirements for switches for household electrical bells. General specifications
Дата актуализации текста: 19.06.2012
Дата актуализации описания: 19.06.2012
Дата введения в действие: 01.07.1992
Область и условия применения: Настоящий стандарт распространяется на на установочные выключатели, предназначенные для включения электрических звонков постоянного и переменного тока на номинальное напряжение не выше 250 В и номинальную силу тока не более 4 А, и устанавливает требования к выключателям, поставляемых для нужд народного хозяйства и экспорта
Взамен: ГОСТ 10023-84


ГОСТ 7397.2-91
ГОСТ 7397.2-91
ГОСТ 7397.2-91
ГОСТ 7397.2-91
ГОСТ 7397.2-91
ГОСТ 7397.2-91
ГОСТ 7397.2-91
ГОСТ 7397.2-91
Автор: 
Домашняя страница автора: 

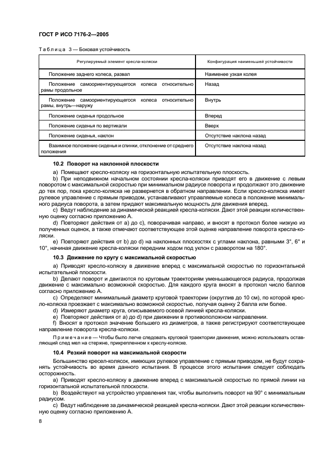
ГОСТ Р ИСО 7176-6-2005

E-mail автора: 

Кресла-коляски. Часть 6. Определение максимальной скорости, ускорения и замедления кресел-колясок с электроприводом

Обозначение: ГОСТ Р ИСО 7176-6-2005
Статус: действующий
Название рус.: Кресла-коляски. Часть 6. Определение максимальной скорости, ускорения и замедления кресел-колясок с электроприводом
Название англ.: Wheelchairs. Part 6. Determination of maximum speed, acceleration and deceleration of electric wheelchairs
Дата актуализации текста: 19.06.2012
Дата актуализации описания: 19.06.2012
Дата введения в действие: 01.01.2006
Область и условия применения: Настоящий стандарт устанвливает методы определения максимальной скорости, ускорения и замедления кресел-колясок с электроприводом и одноместных скутеров, скорость которых не превышает 15 км/ч
Взамен: ГОСТ Р 50732-95


ГОСТ Р ИСО 7176-6-2005
ГОСТ Р ИСО 7176-6-2005
ГОСТ Р ИСО 7176-6-2005
ГОСТ Р ИСО 7176-6-2005
ГОСТ Р ИСО 7176-6-2005
ГОСТ Р ИСО 7176-6-2005
ГОСТ Р ИСО 7176-6-2005
ГОСТ Р ИСО 7176-6-2005
ГОСТ Р ИСО 7176-6-2005
ГОСТ Р ИСО 7176-6-2005
ГОСТ Р ИСО 7176-6-2005
ГОСТ Р ИСО 7176-6-2005
Автор: 
Домашняя страница автора: 

Страницы