Наша группа Вконтакте vk.com/4ertimcom

ГОСТ 6001-10000

ГОСТ 7866.1-76

E-mail автора: 

Кабели судовые с резиновой изоляцией в резиновой или свинцовой оболочке. Технические условия

Обозначение: ГОСТ 7866.1-76
Статус: действующий
Название рус.: Кабели судовые с резиновой изоляцией в резиновой или свинцовой оболочке. Технические условия
Название англ.: Shipboard cables rubber insulated and rubber or lead sheathed. Specifications
Дата актуализации текста: 19.06.2012
Дата актуализации описания: 19.06.2012
Дата введения в действие: 01.01.1978
Область и условия применения: Настоящий стандарт распространяется на судовые кабели с медными или алюминиевыми жилами с резиновой изоляцией, в резиновой или свинцовой оболочке, экранированные или неэкранированные, предназначенные для неподвижной прокладки и присоединения к подвижным токоприемникам, эксплуатируемым на судах морского флота неограниченного района плавания, речного флота, береговых и плавучих сооружениях, изготовляемые для нужд народного хозяйства и для экспорта.
Кабели предназначены для эксплуатации при переменном напряжении до 690 В частотой до 400 Гц или постоянном напряжении 1200 В и передачи электрических сигналов управления малой мощности переменного напряжения до 400 В частотой до 1200 Гц или 500 В постоянного напряжения
Взамен: ГОСТ 7866-67
Список изменений: №1 от 01.09.1978 (рег. 11.05.1978) «Срок действия продлен»
№2 от 01.09.1979 (рег. 11.07.1979) «Срок действия продлен»
№3 от 01.07.1982 (рег. 17.03.1982) «Срок действия продлен»
№4 от 01.12.1985 (рег. 20.06.1985) «Срок действия продлен»
№5 от 01.01.1988 (рег. 25.06.1987) «Срок действия продлен»
№6 от 01.02.1989 (рег. 29.07.1988) «Срок действия продлен»


ГОСТ 7866.1-76
ГОСТ 7866.1-76
ГОСТ 7866.1-76
ГОСТ 7866.1-76
ГОСТ 7866.1-76
ГОСТ 7866.1-76
ГОСТ 7866.1-76
ГОСТ 7866.1-76
ГОСТ 7866.1-76
ГОСТ 7866.1-76
ГОСТ 7866.1-76
ГОСТ 7866.1-76
ГОСТ 7866.1-76
ГОСТ 7866.1-76
ГОСТ 7866.1-76
ГОСТ 7866.1-76
ГОСТ 7866.1-76
ГОСТ 7866.1-76
ГОСТ 7866.1-76
ГОСТ 7866.1-76
ГОСТ 7866.1-76
ГОСТ 7866.1-76
ГОСТ 7866.1-76
ГОСТ 7866.1-76
ГОСТ 7866.1-76
ГОСТ 7866.1-76
ГОСТ 7866.1-76
ГОСТ 7866.1-76
ГОСТ 7866.1-76
ГОСТ 7866.1-76
ГОСТ 7866.1-76
ГОСТ 7866.1-76
ГОСТ 7866.1-76
ГОСТ 7866.1-76
ГОСТ 7866.1-76
ГОСТ 7866.1-76
ГОСТ 7866.1-76
ГОСТ 7866.1-76
ГОСТ 7866.1-76
ГОСТ 7866.1-76
ГОСТ 7866.1-76
ГОСТ 7866.1-76
ГОСТ 7866.1-76
ГОСТ 7866.1-76
ГОСТ 7866.1-76
ГОСТ 7866.1-76
ГОСТ 7866.1-76
ГОСТ 7866.1-76
ГОСТ 7866.1-76
ГОСТ 7866.1-76
ГОСТ 7866.1-76
ГОСТ 7866.1-76
ГОСТ 7866.1-76
Автор: 
Домашняя страница автора: 

ГОСТ 8944-75

E-mail автора: 

Соединительные части из ковкого чугуна с цилиндрической резьбой для трубопроводов. Технические требования

Обозначение: ГОСТ 8944-75
Статус: действующий
Название рус.: Соединительные части из ковкого чугуна с цилиндрической резьбой для трубопроводов. Технические требования
Название англ.: Ductile iron and steel fittings with parallel thread for pipelines. Technical requirements
Дата актуализации текста: 19.06.2012
Дата актуализации описания: 19.06.2012
Дата введения в действие: 01.01.1977
Область и условия применения: Настоящий стандарт распространяется на соединительные части из ковкого чугуна с цилиндрической резьбой для трубопроводов
Взамен: ГОСТ 8944-59 ГОСТ 8945-59
Список изменений: №0 от 22.04.1988 (рег. 22.04.1988) «Срок действия продлен»
№1 от 01.03.1977 (рег. 10.01.1977) «Срок действия продлен»


ГОСТ 8944-75
ГОСТ 8944-75
ГОСТ 8944-75
ГОСТ 8944-75
ГОСТ 8944-75
Автор: 
Домашняя страница автора: 

ГОСТ 6968-76

E-mail автора: 

Кислота уксусная лесохимическая. Технические условия

Обозначение: ГОСТ 6968-76
Статус: действующий
Название рус.: Кислота уксусная лесохимическая. Технические условия
Название англ.: Acetic acid by wood distillation. Specifications
Дата актуализации текста: 19.06.2012
Дата актуализации описания: 19.06.2012
Дата введения в действие: 01.01.1978
Область и условия применения: Настоящий стандарт распространяется на лесохимическую уксусную кислоту, получаемую из продуктов пиролиза древесины
Взамен: ГОСТ 6968-66
Список изменений: №1 от 01.08.1980 (рег. 14.03.1980) «Срок действия продлен»
№2 от 01.10.1982 (рег. 17.05.1982) «Срок действия продлен»
№3 от 01.07.1987 (рег. 02.04.1987) «Срок действия продлен»
№4 от 01.07.1991 (рег. 13.12.1990) «Срок действия продлен»
№5 от 01.07.1992 (рег. 20.12.1991) «Срок действия продлен»


ГОСТ 6968-76
ГОСТ 6968-76
ГОСТ 6968-76
ГОСТ 6968-76
ГОСТ 6968-76
ГОСТ 6968-76
ГОСТ 6968-76
ГОСТ 6968-76
ГОСТ 6968-76
ГОСТ 6968-76
ГОСТ 6968-76
ГОСТ 6968-76
ГОСТ 6968-76
ГОСТ 6968-76
ГОСТ 6968-76
ГОСТ 6968-76
ГОСТ 6968-76
ГОСТ 6968-76
ГОСТ 6968-76
Автор: 
Домашняя страница автора: 

ГОСТ 9880-76

E-mail автора: 

Толуол каменноугольный и сланцевый. Технические условия

Обозначение: ГОСТ 9880-76
Статус: действующий
Название рус.: Толуол каменноугольный и сланцевый. Технические условия
Название англ.: Coal and shale toluenes. Specifications
Дата актуализации текста: 19.06.2012
Дата актуализации описания: 19.06.2012
Дата введения в действие: 01.01.1977
Область и условия применения: Настоящий стандарт распространяется на каменноугольный и сланцевый толуол, получаемый в процессе термической переработки каменного угля и сланцев и предназначенный для использования в качестве исходного сырья в органическом синтезе, растворителя и других целей
Взамен: ГОСТ 9880-61 ГОСТ 5.1047-71
Список изменений: №1 от 01.10.1981 (рег. 15.05.1981) «Срок действия продлен»
№2 от 01.01.1987 (рег. 03.10.1986) «Срок действия продлен»
№3 от 01.01.1992 (рег. 26.06.1991) «Срок действия продлен»


ГОСТ 9880-76
ГОСТ 9880-76
ГОСТ 9880-76
ГОСТ 9880-76
ГОСТ 9880-76
ГОСТ 9880-76
ГОСТ 9880-76
ГОСТ 9880-76
Автор: 
Домашняя страница автора: 

ГОСТ 8034-76

E-mail автора: 

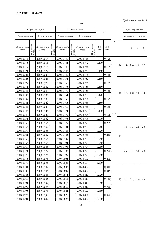
Сверла спиральные малоразмерные диаметром от 0,1 до 1,5 мм с утолщенным цилиндрическим хвостовиком. Технические условия

Обозначение: ГОСТ 8034-76
Статус: действующий
Название рус.: Сверла спиральные малоразмерные диаметром от 0,1 до 1,5 мм с утолщенным цилиндрическим хвостовиком. Технические условия
Название англ.: Small spiral drills with dimeter from 0,1 to 1,5 mm and thickened cylindrical tails. Specifications
Дата актуализации текста: 19.06.2012
Дата актуализации описания: 19.06.2012
Дата введения в действие: 01.01.1978
Область и условия применения: Настоящий стандарт распространяется на малоразмерные спиральные сверла длинной и короткой серий диаметром от 0,1 до 1,5 мм с утолщенным цилиндрическим хвостовиком
Взамен: ГОСТ 8034-67
Список изменений: №1 от 01.07.1983 (рег. 07.01.1983) «Срок действия продлен»
№2 от 01.10.1987 (рег. 23.04.1987) «Срок действия продлен»


ГОСТ 8034-76
ГОСТ 8034-76
ГОСТ 8034-76
ГОСТ 8034-76
ГОСТ 8034-76
ГОСТ 8034-76
ГОСТ 8034-76
ГОСТ 8034-76
ГОСТ 8034-76
Автор: 
Домашняя страница автора: 

ГОСТ 7251-77

E-mail автора: 

Линолеум поливинилхлоридный на тканой и нетканой подоснове. Технические условия

Обозначение: ГОСТ 7251-77
Статус: действующий
Название рус.: Линолеум поливинилхлоридный на тканой и нетканой подоснове. Технические условия
Название англ.: Polyvinilohloride linoleum with woven and unwoven backing. Specifications
Дата актуализации текста: 19.06.2012
Дата актуализации описания: 19.06.2012
Дата введения в действие: 01.01.1978
Область и условия применения: Настоящий стандарт распространяется на линолеум поливинилхлоридный на тканой и нетканой подоснове, изготовленной промазным или контактно-промазным способом из поливинилхлорида, пластификаторов, наполнителей, пигментов и различных добавок
Взамен: ГОСТ 7251-66
Список изменений: №1 от 01.08.1999 (рег. 18.05.1999) «Поправка»


ГОСТ 7251-77
ГОСТ 7251-77
ГОСТ 7251-77
ГОСТ 7251-77
ГОСТ 7251-77
ГОСТ 7251-77
ГОСТ 7251-77
Автор: 
Домашняя страница автора: 

ГОСТ 9680-77

E-mail автора: 

Трансформаторы силовые мощностью 0,01 кВ x А и более. Ряд номинальных мощностей

Обозначение: ГОСТ 9680-77
Статус: действующий
Название рус.: Трансформаторы силовые мощностью 0,01 кВ x А и более. Ряд номинальных мощностей
Название англ.: Power transformers from 0,01 kV x A and above. Series of power ratings
Дата актуализации текста: 19.06.2012
Дата актуализации описания: 19.06.2012
Дата введения в действие: 01.01.1979
Область и условия применения: Настоящий стандарт распространяется на трехфазные и однофазные силовые трансформаторы и автотрансформаторы мощностью от 0,01 кВ х А и выше, включая трансформаторы, предназначенные для экспорта, и устанавливает для них ряд номинальных мощностей.
Стандарт не распространяется на трансформаторы для питания радиотехнических и электронных устройств, трансформаторы для питания бытовых электроприборов и измерительные трансформаторы, однако и для этих трансформаторов, когда это возможно, рекомендуется руководствоваться требованиями, установленными настоящим стандартом
Взамен: ГОСТ 9680-61


ГОСТ 9680-77
ГОСТ 9680-77
ГОСТ 9680-77
ГОСТ 9680-77
Автор: 
Домашняя страница автора: 

ГОСТ 7012-77

E-mail автора: 

Трансформаторы однофазные однопостовые для автоматической дуговой сварки под флюсом. Общие технические условия

Обозначение: ГОСТ 7012-77
Статус: действующий
Название рус.: Трансформаторы однофазные однопостовые для автоматической дуговой сварки под флюсом. Общие технические условия
Название англ.: Single-operator single-phase transformers for automatic submerged arc welding. General specifications
Дата актуализации текста: 19.06.2012
Дата актуализации описания: 19.06.2012
Дата введения в действие: 01.01.1980
Область и условия применения: Настоящий стандарт распространяется на однофазные однопостовые стационарные трансформаторы для автоматической дуговой сварки под флюсом, общего назначения, а также предназначенные для экспорта.
Стандарт не распространяется на трансформаторы, работающие под водой, в шахтах, рудниках, космосе, а также трансформаторы бытового назначения
Взамен: ГОСТ 7012-69
Список изменений: №1 от 01.01.1981 (рег. 04.03.1980) «Срок действия продлен»
№2 от 01.01.1983 (рег. 24.12.1982) «Срок действия продлен»
№3 от 01.01.1985 (рег. 24.08.1984) «Срок действия продлен»
№4 от 01.01.1986 (рег. 24.04.1985) «Срок действия продлен»
№5 от 01.01.1991 (рег. 03.07.1990) «Срок действия продлен»


ГОСТ 7012-77
ГОСТ 7012-77
ГОСТ 7012-77
ГОСТ 7012-77
ГОСТ 7012-77
ГОСТ 7012-77
ГОСТ 7012-77
ГОСТ 7012-77
ГОСТ 7012-77
ГОСТ 7012-77
ГОСТ 7012-77
Автор: 
Домашняя страница автора: 

ГОСТ 9882-77

E-mail автора: 

Вещества текстильно-вспомогательные. Сульфирол-8. Технические условия

Обозначение: ГОСТ 9882-77
Статус: действующий
Название рус.: Вещества текстильно-вспомогательные. Сульфирол-8. Технические условия
Название англ.: Auxiliary compounds for textiles. Sulfirol-8. Specifications
Дата актуализации текста: 19.06.2012
Дата актуализации описания: 19.06.2012
Дата введения в действие: 01.01.1979
Область и условия применения: Настоящий стандарт распространяется на текстильно-вспомогательное вещество сульфирол-8, представляющий собой водный раствор натриевой соли сернокислого эфира 2-этилгексанола
Взамен: ГОСТ 9882-61
Список изменений: №1 от 01.01.1983 (рег. 05.08.1982) «Срок действия продлен»
№2 от 01.09.1987 (рег. 30.03.1987) «Срок действия продлен»
№3 от 01.01.1993 (рег. 02.07.1992) «Срок действия продлен»


ГОСТ 9882-77
ГОСТ 9882-77
ГОСТ 9882-77
ГОСТ 9882-77
ГОСТ 9882-77
ГОСТ 9882-77
ГОСТ 9882-77
ГОСТ 9882-77
ГОСТ 9882-77
ГОСТ 9882-77
ГОСТ 9882-77
ГОСТ 9882-77
ГОСТ 9882-77
ГОСТ 9882-77
ГОСТ 9882-77
ГОСТ 9882-77
ГОСТ 9882-77
ГОСТ 9882-77
ГОСТ 9882-77
ГОСТ 9882-77
ГОСТ 9882-77
ГОСТ 9882-77
ГОСТ 9882-77
Автор: 
Домашняя страница автора: 

ГОСТ 8073-77

E-mail автора: 

Табак-сырье неферментированное. Технические условия

Обозначение: ГОСТ 8073-77
Статус: действующий
Название рус.: Табак-сырье неферментированное. Технические условия
Название англ.: Nonfermented tobacco-material. Specifications
Дата актуализации текста: 19.06.2012
Дата актуализации описания: 19.06.2012
Дата введения в действие: 01.07.1979
Область и условия применения: Настоящий стандарт распространяется на неферментированное табачное сырье, получаемое из листьев табака (Nicotiana tabacum L.), предназначенное для табачной промышленности
Взамен: ГОСТ 8073-56
Список изменений: №1 от 01.12.1981 (рег. 01.12.1981) «Срок действия продлен»
№2 от 01.11.1983 (рег. 16.09.1983) «Срок действия продлен»
№3 от 01.03.1986 (рег. 07.08.1985) «Срок действия продлен»
№4 от 01.01.1987 (рег. 16.07.1986) «Срок действия продлен»
№5 от 01.10.1987 (рег. 02.04.1987) «Срок действия продлен»
№6 от 01.07.1992 (рег. 28.12.1991) «Срок действия продлен»


ГОСТ 8073-77
ГОСТ 8073-77
ГОСТ 8073-77
ГОСТ 8073-77
ГОСТ 8073-77
ГОСТ 8073-77
ГОСТ 8073-77
ГОСТ 8073-77
ГОСТ 8073-77
ГОСТ 8073-77
ГОСТ 8073-77
Автор: 
Домашняя страница автора: 

Страницы