Наша группа Вконтакте vk.com/4ertimcom
ГОСТ Р ИСО 14044-2007
E-mail автора:
Экологический менеджмент. Оценка жизненного цикла. Требования и рекомендации
| Обозначение: | ГОСТ Р ИСО 14044-2007 | ||
| Статус: | действующий | ||
| Название рус.: | Экологический менеджмент. Оценка жизненного цикла. Требования и рекомендации | ||
| Название англ.: | Environmental management. Life cycle assessment. Requirements and guidelines | ||
| Дата актуализации текста: | 19.06.2012 | ||
| Дата актуализации описания: | 19.06.2012 | ||
| Дата введения в действие: | 01.01.2009 | ||
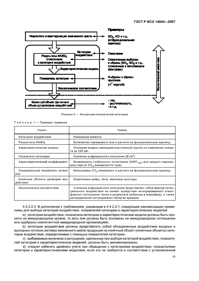
| Область и условия применения: | Настоящий стандарт устанавливает требования к оценке жизненного цикла продукции (далее - ОЖЦ) продукции и предоставляет соответствующие рекомендации в отношении: a) установления цели и области применения ОЖЦ; b) стадии инвентаризационного анализа жизненного цикла (ИАЖЦ); c) стадии оценки воздействия жизненного цикла (ОВЖЦ); d) стадии интерпретации жизненного цикла; e) подготовки отчетов и критического анализа ОЖЦ; f) ограничений ОЖЦ; g) взаимозависимости стадии ОЖЦ, а также условий использования количественных значений и дополнительных элементов |
||











































Автор:
Домашняя страница автора:
Чертежи бесплатно