Наша группа Вконтакте vk.com/4ertimcom
ГОСТ Р ИСО 14064-1-2007
E-mail автора:
Газы парниковые. Часть 1. Требования и руководство по количественному определению и отчетности о выбросах и удалении парниковых газов на уровне организации
| Обозначение: | ГОСТ Р ИСО 14064-1-2007 | ||
| Статус: | действующий | ||
| Название рус.: | Газы парниковые. Часть 1. Требования и руководство по количественному определению и отчетности о выбросах и удалении парниковых газов на уровне организации | ||
| Название англ.: | Greenhouse gases. Part 1. Specification with guidance at the organizational level for quantification and reporting of greenhouse gas emissions and removals | ||
| Дата актуализации текста: | 19.06.2012 | ||
| Дата актуализации описания: | 19.06.2012 | ||
| Дата введения в действие: | 01.01.2009 | ||
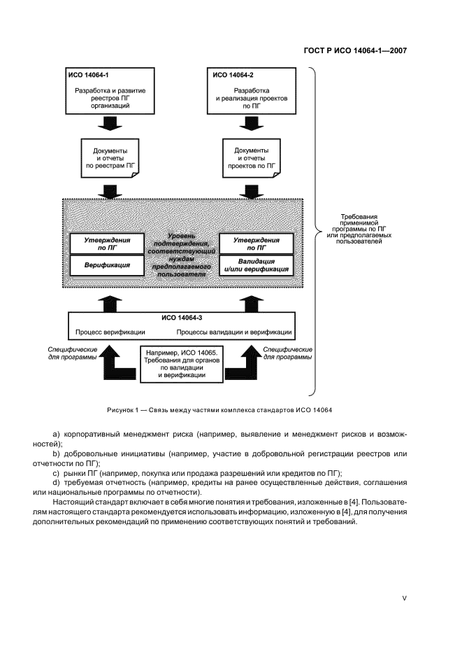
| Область и условия применения: | Настоящий стандарт устанавливает основные принципы и требования к количественному определению и отчетности по выбросам и удалению парниковых газов (ПГ) на уровне организации. Стандарт включает в себя требования по разработке, развитию, управлению, отчетности и верификации реестра ПГ организации. Настоящий стандарт не распространяется на разработки проектов или программ в области ПГ. Если программа по ПГ применима, требования этой программы применяют совместно с требованиями настоящего стандарта. Если требования стандарта не соответствуют требованиям проекта, применимой политики или программы, применяют требования политики или программы по ПГ |
||























Автор:
Домашняя страница автора:
Чертежи бесплатно