Наша группа Вконтакте vk.com/4ertimcom
ГОСТ Р ИСО 14064-3-2007
E-mail автора:
Газы парниковые. Часть 3. Требования и руководство по валидации и верификации утверждений, касающихся парниковых газов
| Обозначение: | ГОСТ Р ИСО 14064-3-2007 | ||
| Статус: | действующий | ||
| Название рус.: | Газы парниковые. Часть 3. Требования и руководство по валидации и верификации утверждений, касающихся парниковых газов | ||
| Название англ.: | Greenhouse gases. Part 3. Specification with guidance for the validation and verification of greenhouse gas assertions | ||
| Дата актуализации текста: | 19.06.2012 | ||
| Дата актуализации описания: | 19.06.2012 | ||
| Дата введения в действие: | 01.01.2009 | ||
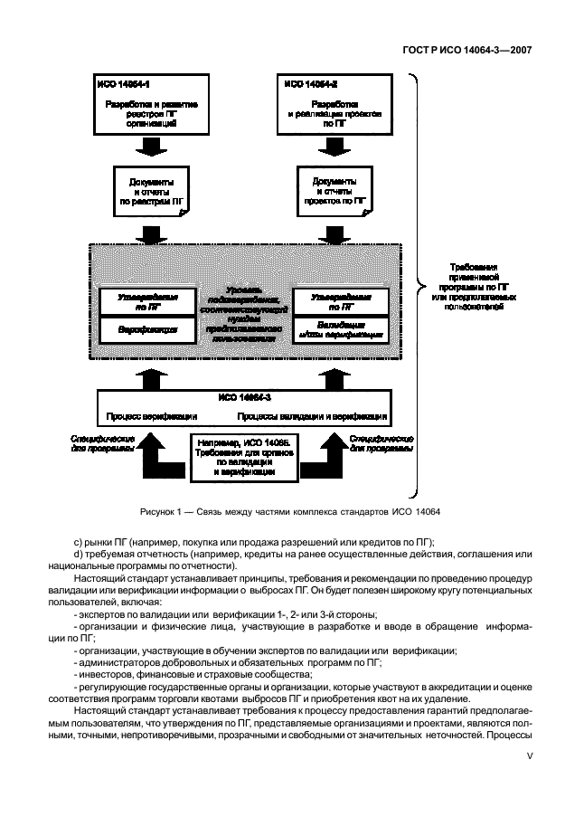
| Область и условия применения: | Настоящий стандарт устанавливает принципы и требования, а также рекомендации по проведению или управлению процедурами валидации и/или верификации утверждений по парниковым газам (ПГ). Требования настоящего стандарта следует применять для количественных оценок, проводимых в организации, при выполнении проекта по ПГ, включая
количественное определение выбросов ПГ, мониторинг и предоставление отчетов в соответствии с требованиями первой и второй частей комплекса стандартов ИСО 14064. Настоящий стандарт также устанавливает требования к выбору экспертов по валидации и верификации, установлению уровня гарантий, целей, критериев и областей применения, выбору подходов к процедурам валидации или верификации, оценке данных по ПГ, информации, информационным системам и системам управления, оценке правильности утверждений по ПГ и подготовке заключений по результатам валидации или верификации. Настоящий стандарт не влияет на требования программ по ПГ. Требования действующих программ по ПГ дополняют требования настоящего стандарта |
||



































Автор:
Домашняя страница автора:
Чертежи бесплатно